Một số phương pháp tính tích phân suy rộng, ví dụ có lời giải
Bài viết nhỏ này nêu ra một số phương pháp mà nhiều người làm toán cao cấp hay sử dụng. Các phương pháp tính tích phân thông thường xin không nêu lại. Chỉ đề cập các phương pháp như: phép biến đổi Laplace, Fourier, hàm sinh của các hàm đặc biệt, tích phân tham số, hàm Gamma, Beta, Gauss, Dirac, lý thuyết thặng dư, tích phân kép, chuỗi Taylor... Lượng kiến thức được sử dụng trong bài này khá nhiều không thể trình bày tất cả, nên chỉ có thể điểm qua đôi nét kiến thức cần thiết trước mỗi phương pháp.
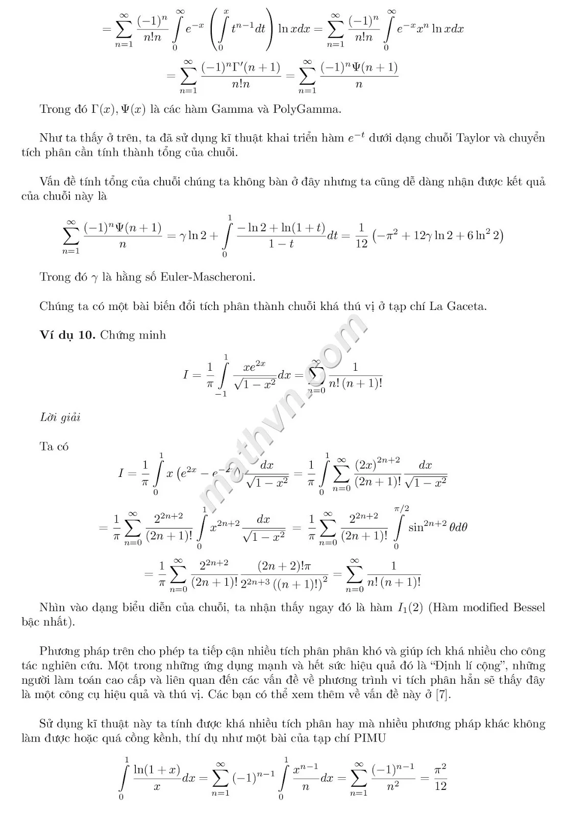
Xem chi tiết phương pháp tính tích phân và ví dụ có lời giải trong các ảnh dưới đây.
Ví dụ và lời giải cùng bài tập tương tự của tác giả Nguyễn Văn Vinh.
Các phương pháp tính tích phân suy rộng - trang 3
Các phương pháp tính tích phân suy rộng - trang 4
Các phương pháp tính tích phân suy rộng - trang 5
Các phương pháp tính tích phân suy rộng - trang 6
Các phương pháp tính tích phân suy rộng - trang 7
Các phương pháp tính tích phân suy rộng - trang 8
Các phương pháp tính tích phân suy rộng - trang 9
Hi vọng bài viết sẽ giúp ích cho bạn đọc đang tìm hiểu về các phương pháp tính tích phân và tích phân suy rộng.
Xem chi tiết phương pháp tính tích phân và ví dụ có lời giải trong các ảnh dưới đây.
Ví dụ và lời giải cùng bài tập tương tự của tác giả Nguyễn Văn Vinh.
Các phương pháp tính tích phân suy rộng - trang 3
Các phương pháp tính tích phân suy rộng - trang 4
Các phương pháp tính tích phân suy rộng - trang 5
Các phương pháp tính tích phân suy rộng - trang 6
Các phương pháp tính tích phân suy rộng - trang 7
Các phương pháp tính tích phân suy rộng - trang 8
Các phương pháp tính tích phân suy rộng - trang 9
Hi vọng bài viết sẽ giúp ích cho bạn đọc đang tìm hiểu về các phương pháp tính tích phân và tích phân suy rộng.








