Đề thi THPT quốc gia môn Toán năm 2019 cho học sinh thử sức trước kì thi có đáp án 50 câu trắc nghiệm Toán. Nội dung đề thi chủ yếu ở lớp 12...
Đề thi THPT quốc gia môn Toán năm 2019 cho học sinh thử sức trước kì thi có đáp án 50 câu trắc nghiệm Toán. Nội dung đề thi chủ yếu ở lớp 12, một phần nhỏ nằm ở lớp 11. Đề do các thầy cô dạy Toán ở trường THPT Nam Tiền Hải Thái Bình biên soạn.
Câu hỏi: Thầy giáo Công gửi vào ngân hàng 10 triệu đồng theo hình thức lãi kép với kì hạn 4 tháng. Biết rằng lãi suất của ngân hàng là 0,5% / tháng. Hỏi sau 2 năm thầy giáo thu được số tiền lãi gần nhất với số nào sau đây?
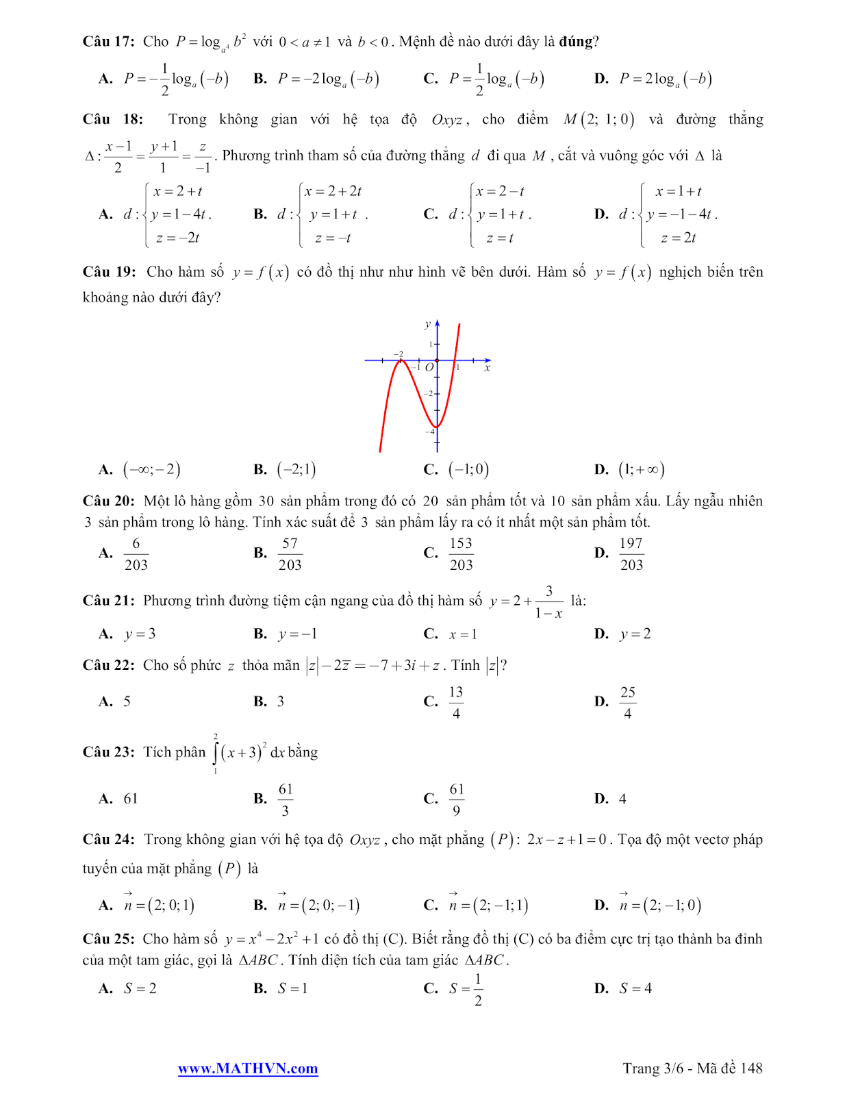
Câu hỏi: Cho hàm số y=f(x) có đồ thị như như hình vẽ bên dưới. Hàm số y=f(x) nghịch biến trên khoảng nào dưới đây?
Câu xác suất: Một lô hàng gồm 30 sản phẩm trong đó có 20 sản phẩm tốt và 10 sản phẩm xấu. Lấy ngẫu nhiên 3 sản phẩm trong lô hàng. Tính xác suất để 3 sản phẩm lấy ra có ít nhất một sản phẩm tốt.
Đáp án đề thi thpt quốc gia môn toán năm 2019
Đề thi thử môn Toán 2019 có lời giải chi tiết
Xem đầy đủ đề và đáp án môn toán thpt quốc gia năm 2019
Câu hỏi: Cho khối chóp tam giác đều S.ABC có cạnh đáy bằng 4, chiều cao của khối chóp bằng chiều caocủa tam giác đáy. Gọi M là trung điểm cạnh SA. Thể tích của khối chóp M.ABC bằng bao nhiêu?Câu hỏi: Thầy giáo Công gửi vào ngân hàng 10 triệu đồng theo hình thức lãi kép với kì hạn 4 tháng. Biết rằng lãi suất của ngân hàng là 0,5% / tháng. Hỏi sau 2 năm thầy giáo thu được số tiền lãi gần nhất với số nào sau đây?
Câu hỏi: Cho hàm số y=f(x) có đồ thị như như hình vẽ bên dưới. Hàm số y=f(x) nghịch biến trên khoảng nào dưới đây?
Câu xác suất: Một lô hàng gồm 30 sản phẩm trong đó có 20 sản phẩm tốt và 10 sản phẩm xấu. Lấy ngẫu nhiên 3 sản phẩm trong lô hàng. Tính xác suất để 3 sản phẩm lấy ra có ít nhất một sản phẩm tốt.
Đáp án đề thi thpt quốc gia môn toán năm 2019
Xem file PDF đề thi thpt quốc gia môn toán năm 2019
Đề thi thử môn Toán 2019 có lời giải chi tiết








