Tuyển tập 300 câu trắc nghiệm hình học 11 chương 1 phép biến hình (các phép dời hình và phép đồng dạng) có đáp án. Bài tập trắc nghiệm ch...
Tuyển tập 300 câu trắc nghiệm hình học 11 chương 1 phép biến hình (các phép dời hình và phép đồng dạng) có đáp án.
Bài tập trắc nghiệm chương 1 hình học 11 - bài 1. Phép tịnh tiến - có đáp án
Bài tập trắc nghiệm chương 1 hình học 11 - phép dời hình và phép đồng dạng - có đáp án
Bài tập trắc nghiệm chương 1 hình học 11 - phép dời hình và phép đồng dạng - có đáp án
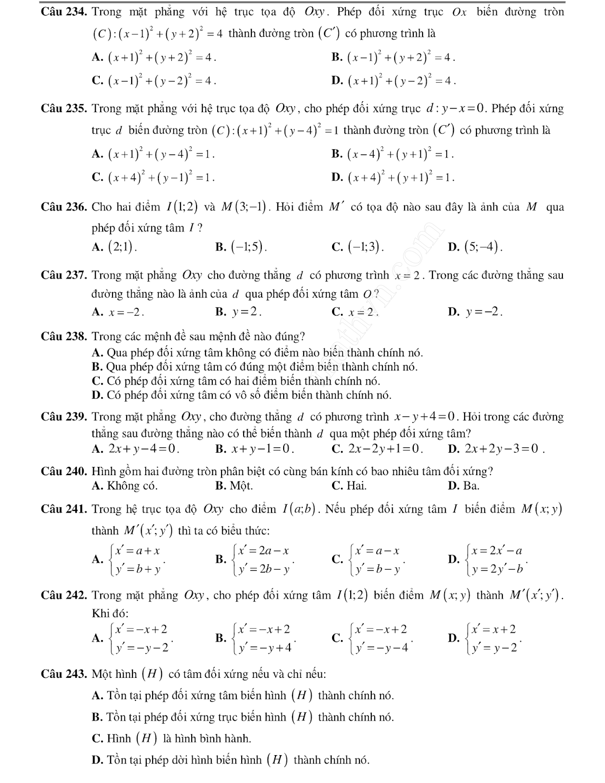
Bài tập trắc nghiệm chương 1 hình học 11 - bài 2. Phép đối xứng trục - có đáp án
Bài tập trắc nghiệm chương 1 hình học 11 - phép dời hình và phép đồng dạng - có đáp án
Bài tập trắc nghiệm chương 1 hình học 11 - phép dời hình và phép đồng dạng - có đáp án
Bài tập trắc nghiệm chương 1 hình học 11 - bài 3. Phép đối xứng tâm - có đáp án
Bài tập trắc nghiệm chương 1 hình học 11 - phép dời hình và phép đồng dạng - có đáp án
Bài tập trắc nghiệm chương 1 hình học 11 - phép dời hình và phép đồng dạng - có đáp án
Bài tập trắc nghiệm chương 1 hình học 11 - bài 4. Phép quay - có đáp án
Bài tập trắc nghiệm chương 1 hình học 11 - bài 5. Các phép dời hình - có đáp án
Bài tập trắc nghiệm chương 1 hình học 11 - phép dời hình và phép đồng dạng - có đáp án
Bài tập trắc nghiệm chương 1 hình học 11 - phép dời hình và phép đồng dạng - có đáp án
Bài tập trắc nghiệm chương 1 hình học 11 - bài 6. Phép vị tự - có đáp án
Bài tập trắc nghiệm chương 1 hình học 11 - phép dời hình và phép đồng dạng - có đáp án
Bài tập trắc nghiệm chương 1 hình học 11 - phép dời hình và phép đồng dạng - có đáp án
Bài tập trắc nghiệm chương 1 hình học 11 - bài 7. Phép đồng dạng - có đáp án
Bài tập trắc nghiệm chương 1 hình học 11 - phép dời hình và phép đồng dạng - có đáp án
Bài tập trắc nghiệm chương 1 hình học 11 - Ôn tập chương 1 - có đáp án
Bài tập trắc nghiệm chương 1 hình học 11 - phép dời hình và phép đồng dạng - có đáp án
Bài tập trắc nghiệm chương 1 hình học 11 - phép dời hình và phép đồng dạng - có đáp án
Bài tập trắc nghiệm chương 1 hình học 11 - phép dời hình và phép đồng dạng - có đáp án
Bài tập trắc nghiệm chương 1 hình học 11 - phép dời hình và phép đồng dạng - có đáp án
Bài tập trắc nghiệm chương 1 hình học 11 - phép dời hình và phép đồng dạng - có đáp án
Bài tập trắc nghiệm chương 1 hình học 11 - phép dời hình và phép đồng dạng - có đáp án
Bài tập trắc nghiệm chương 1 hình học 11 - phép dời hình và phép đồng dạng - có đáp án
Bài tập trắc nghiệm chương 1 hình học 11 - phép dời hình và phép đồng dạng - có đáp án
Bài tập trắc nghiệm chương 1 hình học 11 - phép dời hình và phép đồng dạng - có đáp án
Bài tập trắc nghiệm chương 1 hình học 11 - phép dời hình và phép đồng dạng - có đáp án
Đáp án 300 câu trắc nghiệm hình học lớp 11 chương 1 phép biến hình
Bài tập trắc nghiệm chương 1 hình học 11 - bài 1. Phép tịnh tiến - có đáp án
Bài tập trắc nghiệm chương 1 hình học 11 - phép dời hình và phép đồng dạng - có đáp án
Bài tập trắc nghiệm chương 1 hình học 11 - phép dời hình và phép đồng dạng - có đáp án
Bài tập trắc nghiệm chương 1 hình học 11 - bài 2. Phép đối xứng trục - có đáp án
Bài tập trắc nghiệm chương 1 hình học 11 - phép dời hình và phép đồng dạng - có đáp án
Bài tập trắc nghiệm chương 1 hình học 11 - phép dời hình và phép đồng dạng - có đáp án
Bài tập trắc nghiệm chương 1 hình học 11 - bài 3. Phép đối xứng tâm - có đáp án
Bài tập trắc nghiệm chương 1 hình học 11 - phép dời hình và phép đồng dạng - có đáp án
Bài tập trắc nghiệm chương 1 hình học 11 - phép dời hình và phép đồng dạng - có đáp án
Bài tập trắc nghiệm chương 1 hình học 11 - bài 4. Phép quay - có đáp án
Bài tập trắc nghiệm chương 1 hình học 11 - bài 5. Các phép dời hình - có đáp án
Bài tập trắc nghiệm chương 1 hình học 11 - phép dời hình và phép đồng dạng - có đáp án
Bài tập trắc nghiệm chương 1 hình học 11 - phép dời hình và phép đồng dạng - có đáp án
Bài tập trắc nghiệm chương 1 hình học 11 - bài 6. Phép vị tự - có đáp án
Bài tập trắc nghiệm chương 1 hình học 11 - phép dời hình và phép đồng dạng - có đáp án
Bài tập trắc nghiệm chương 1 hình học 11 - phép dời hình và phép đồng dạng - có đáp án
Bài tập trắc nghiệm chương 1 hình học 11 - bài 7. Phép đồng dạng - có đáp án
Bài tập trắc nghiệm chương 1 hình học 11 - phép dời hình và phép đồng dạng - có đáp án
Bài tập trắc nghiệm chương 1 hình học 11 - Ôn tập chương 1 - có đáp án
Bài tập trắc nghiệm chương 1 hình học 11 - phép dời hình và phép đồng dạng - có đáp án
Bài tập trắc nghiệm chương 1 hình học 11 - phép dời hình và phép đồng dạng - có đáp án
Bài tập trắc nghiệm chương 1 hình học 11 - phép dời hình và phép đồng dạng - có đáp án
Bài tập trắc nghiệm chương 1 hình học 11 - phép dời hình và phép đồng dạng - có đáp án
Bài tập trắc nghiệm chương 1 hình học 11 - phép dời hình và phép đồng dạng - có đáp án
Bài tập trắc nghiệm chương 1 hình học 11 - phép dời hình và phép đồng dạng - có đáp án
Bài tập trắc nghiệm chương 1 hình học 11 - phép dời hình và phép đồng dạng - có đáp án
Bài tập trắc nghiệm chương 1 hình học 11 - phép dời hình và phép đồng dạng - có đáp án
Bài tập trắc nghiệm chương 1 hình học 11 - phép dời hình và phép đồng dạng - có đáp án
Bài tập trắc nghiệm chương 1 hình học 11 - phép dời hình và phép đồng dạng - có đáp án
Đáp án 300 câu trắc nghiệm hình học lớp 11 chương 1 phép biến hình
Người đăng: Tố Uyên Trần.
Học sinh lớp 11 và thầy cô tải file PDF ở đây: Download































