Tuyển chọn 300 bài tập trắc nghiệm chương 1 toán hình học lớp 10 về nội dung Véctơ - Tọa độ có đáp án . Gồm các nội dung chính: Định nghĩa v...
Tuyển chọn 300 bài tập trắc nghiệm chương 1 toán hình học lớp 10 về nội dung Véctơ - Tọa độ có đáp án. Gồm các nội dung chính: Định nghĩa vecto và các khái niệm liên quan; Các phép toán tổng, hiệu vecto; Phép nhân vectơ với một số; Tọa độ của vec-tơ; Hệ trục tọa độ trong mặt phẳng;...
Câu hỏi bài tập trắc nghiệm chương 1 hình học lớp 10 cơ bản và nâng cao - Bài 1. Định nghĩa véctơ - có đáp án
Câu hỏi bài tập trắc nghiệm chương 1 hình học lớp 10 cơ bản và nâng cao - Bài 1. Định nghĩa véctơ - có đáp án
Câu hỏi bài tập trắc nghiệm chương 1 hình học lớp 10 cơ bản và nâng cao - Bài 1. Khái niệm véctơ - có đáp án
Câu hỏi bài tập trắc nghiệm chương 1 hình học lớp 10 cơ bản và nâng cao - Bài 1. Định nghĩa véctơ - có đáp án
Câu hỏi bài tập trắc nghiệm chương 1 hình học lớp 10 cơ bản và nâng cao - Bài 1. Định nghĩa véctơ - có đáp án
Câu hỏi bài tập trắc nghiệm chương 1 hình học lớp 10 cơ bản và nâng cao - Bài 1. Định nghĩa véctơ và các khái niệm liên quan - có đáp án
Câu hỏi bài tập trắc nghiệm chương 1 hình học lớp 10 cơ bản và nâng cao - Bài 2. Tọa độ véctơ - có đáp án
Câu hỏi bài tập trắc nghiệm chương 1 hình học lớp 10 cơ bản và nâng cao - Bài 2. Tọa độ véctơ - có đáp án
Câu hỏi bài tập trắc nghiệm chương 1 hình học lớp 10 cơ bản và nâng cao - Bài 2. Tọa độ của véctơ - có đáp án
Câu hỏi bài tập trắc nghiệm chương 1 hình học lớp 10 cơ bản và nâng cao - Bài 2. Tọa độ véctơ và các phép toán - có đáp án
Câu hỏi bài tập trắc nghiệm chương 1 hình học lớp 10 cơ bản và nâng cao - Bài 2. Tọa độ véctơ - có đáp án
Câu hỏi bài tập trắc nghiệm chương 1 hình học lớp 10 cơ bản và nâng cao - Bài 3. Ôn tập chương 1 - có đáp án
Câu hỏi bài tập trắc nghiệm chương 1 hình học lớp 10 cơ bản và nâng cao - Bài 3. Ôn tập chương 1 - có đáp án
Câu hỏi bài tập trắc nghiệm chương 1 hình học lớp 10 cơ bản và nâng cao - Bài 3. Ôn tập chương 1 - có đáp án
Câu hỏi bài tập trắc nghiệm chương 1 hình học lớp 10 cơ bản và nâng cao - Bài 3. Ôn tập chương 1 - có đáp án
Câu hỏi bài tập trắc nghiệm chương 1 hình học lớp 10 cơ bản và nâng cao - Bài 3. Ôn tập chương 1 - có đáp án
Câu hỏi bài tập trắc nghiệm chương 1 hình học lớp 10 cơ bản và nâng cao - Bài 3. Bài tập tổng hợp chương 1 - có đáp án
Câu hỏi bài tập trắc nghiệm chương 1 hình học lớp 10 cơ bản và nâng cao - Bài 3. Bài tập tổng hợp chương 1 - có đáp án
Câu hỏi bài tập trắc nghiệm chương 1 hình học lớp 10 cơ bản và nâng cao - Bài 3. Bài tập tổng hợp chương 1 - có đáp án
Câu hỏi bài tập trắc nghiệm chương 1 hình học lớp 10 cơ bản và nâng cao - Bài 3. Bài tập tổng hợp chương 1 - có đáp án
Câu hỏi bài tập trắc nghiệm chương 1 hình học lớp 10 cơ bản và nâng cao - tọa độ vecto - có đáp án
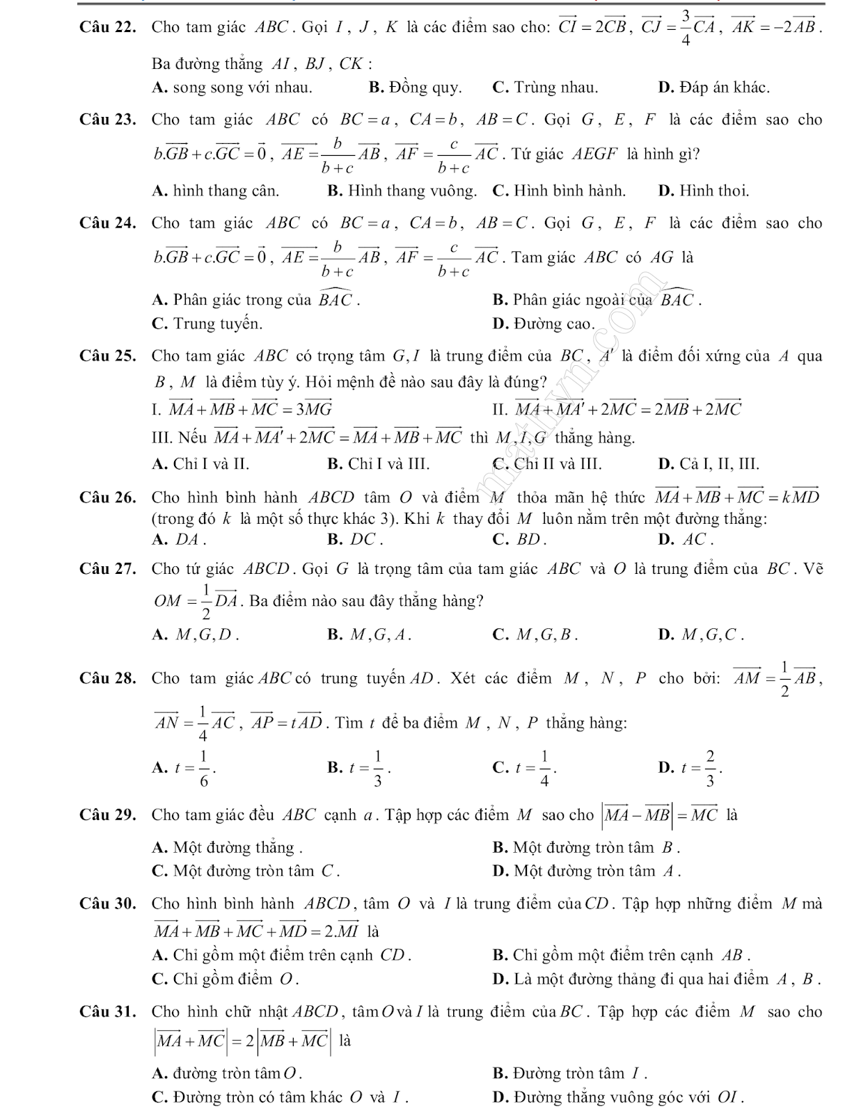
Câu hỏi bài tập trắc nghiệm chương 1 hình học lớp 10 cơ bản và nâng cao - vecto - có đáp án
Câu hỏi bài tập trắc nghiệm chương 1 hình học lớp 10 cơ bản và nâng cao - vecto - có đáp án
Câu hỏi bài tập trắc nghiệm chương 1 hình học lớp 10 cơ bản và nâng cao - vecto - có đáp án
Câu hỏi bài tập trắc nghiệm chương 1 hình học lớp 10 cơ bản và nâng cao - Bài 3. Bài tập tổng hợp chương 1 - có đáp án
Câu hỏi bài tập trắc nghiệm chương 1 hình học lớp 10 cơ bản và nâng cao - Bài 3. Bài tập tổng hợp chương 1 - có đáp án
Câu hỏi bài tập trắc nghiệm chương 1 hình học lớp 10 cơ bản và nâng cao - vecto - có đáp án
Câu hỏi bài tập trắc nghiệm chương 1 hình học lớp 10 cơ bản và nâng cao - vecto - có đáp án
Câu hỏi bài tập trắc nghiệm chương 1 hình học lớp 10 cơ bản và nâng cao - vecto - có đáp án
Đáp án 310 câu hỏi trắc nghiệm chương 1 hình học lớp 10 cơ bản và nâng cao - chủ đề véctơ
Học sinh lớp 10 và quý thầy cô giáo THPT tải file PDF 310 câu hỏi trắc nghiệm vec tơ chương 1 hình học lớp 10 ở đây: Download
Câu hỏi bài tập trắc nghiệm chương 1 hình học lớp 10 cơ bản và nâng cao - Bài 1. Định nghĩa véctơ - có đáp án
Câu hỏi bài tập trắc nghiệm chương 1 hình học lớp 10 cơ bản và nâng cao - Bài 1. Định nghĩa véctơ - có đáp án
Câu hỏi bài tập trắc nghiệm chương 1 hình học lớp 10 cơ bản và nâng cao - Bài 1. Khái niệm véctơ - có đáp án
Câu hỏi bài tập trắc nghiệm chương 1 hình học lớp 10 cơ bản và nâng cao - Bài 1. Định nghĩa véctơ - có đáp án
Câu hỏi bài tập trắc nghiệm chương 1 hình học lớp 10 cơ bản và nâng cao - Bài 1. Định nghĩa véctơ - có đáp án
Câu hỏi bài tập trắc nghiệm chương 1 hình học lớp 10 cơ bản và nâng cao - Bài 1. Định nghĩa véctơ và các khái niệm liên quan - có đáp án
Câu hỏi bài tập trắc nghiệm chương 1 hình học lớp 10 cơ bản và nâng cao - Bài 2. Tọa độ véctơ - có đáp án
Câu hỏi bài tập trắc nghiệm chương 1 hình học lớp 10 cơ bản và nâng cao - Bài 2. Tọa độ véctơ - có đáp án
Câu hỏi bài tập trắc nghiệm chương 1 hình học lớp 10 cơ bản và nâng cao - Bài 2. Tọa độ của véctơ - có đáp án
Câu hỏi bài tập trắc nghiệm chương 1 hình học lớp 10 cơ bản và nâng cao - Bài 2. Tọa độ véctơ và các phép toán - có đáp án
Câu hỏi bài tập trắc nghiệm chương 1 hình học lớp 10 cơ bản và nâng cao - Bài 2. Tọa độ véctơ - có đáp án
Câu hỏi bài tập trắc nghiệm chương 1 hình học lớp 10 cơ bản và nâng cao - Bài 3. Ôn tập chương 1 - có đáp án
Câu hỏi bài tập trắc nghiệm chương 1 hình học lớp 10 cơ bản và nâng cao - Bài 3. Ôn tập chương 1 - có đáp án
Câu hỏi bài tập trắc nghiệm chương 1 hình học lớp 10 cơ bản và nâng cao - Bài 3. Ôn tập chương 1 - có đáp án
Câu hỏi bài tập trắc nghiệm chương 1 hình học lớp 10 cơ bản và nâng cao - Bài 3. Ôn tập chương 1 - có đáp án
Câu hỏi bài tập trắc nghiệm chương 1 hình học lớp 10 cơ bản và nâng cao - Bài 3. Ôn tập chương 1 - có đáp án
Câu hỏi bài tập trắc nghiệm chương 1 hình học lớp 10 cơ bản và nâng cao - Bài 3. Bài tập tổng hợp chương 1 - có đáp án
Câu hỏi bài tập trắc nghiệm chương 1 hình học lớp 10 cơ bản và nâng cao - Bài 3. Bài tập tổng hợp chương 1 - có đáp án
Câu hỏi bài tập trắc nghiệm chương 1 hình học lớp 10 cơ bản và nâng cao - Bài 3. Bài tập tổng hợp chương 1 - có đáp án
Câu hỏi bài tập trắc nghiệm chương 1 hình học lớp 10 cơ bản và nâng cao - Bài 3. Bài tập tổng hợp chương 1 - có đáp án
Câu hỏi bài tập trắc nghiệm chương 1 hình học lớp 10 cơ bản và nâng cao - tọa độ vecto - có đáp án
Câu hỏi bài tập trắc nghiệm chương 1 hình học lớp 10 cơ bản và nâng cao - vecto - có đáp án
Câu hỏi bài tập trắc nghiệm chương 1 hình học lớp 10 cơ bản và nâng cao - vecto - có đáp án
Câu hỏi bài tập trắc nghiệm chương 1 hình học lớp 10 cơ bản và nâng cao - vecto - có đáp án
Câu hỏi bài tập trắc nghiệm chương 1 hình học lớp 10 cơ bản và nâng cao - Bài 3. Bài tập tổng hợp chương 1 - có đáp án
Câu hỏi bài tập trắc nghiệm chương 1 hình học lớp 10 cơ bản và nâng cao - Bài 3. Bài tập tổng hợp chương 1 - có đáp án
Câu hỏi bài tập trắc nghiệm chương 1 hình học lớp 10 cơ bản và nâng cao - vecto - có đáp án
Câu hỏi bài tập trắc nghiệm chương 1 hình học lớp 10 cơ bản và nâng cao - vecto - có đáp án
Câu hỏi bài tập trắc nghiệm chương 1 hình học lớp 10 cơ bản và nâng cao - vecto - có đáp án
Đáp án 310 câu hỏi trắc nghiệm chương 1 hình học lớp 10 cơ bản và nâng cao - chủ đề véctơ
Người đăng: Tố Uyên Trần.
Học sinh lớp 10 và quý thầy cô giáo THPT tải file PDF 310 câu hỏi trắc nghiệm vec tơ chương 1 hình học lớp 10 ở đây: Download






























