Bài viết này giới thiệu 11 đề ôn tập thi học kì môn Toán lớp 10 năm học 2019 - 2020 của trường THPT Chu Văn An - Hà Nội. Gồm 1 đề thi thử họ...
Bài viết này giới thiệu 11 đề ôn tập thi học kì môn Toán lớp 10 năm học 2019 - 2020 của trường THPT Chu Văn An - Hà Nội. Gồm 1 đề thi thử học kì 1 và 10 đề ôn tập dưới dạng tự luận.
Đề thi thử học kì 1 Toán lớp 10 năm học 2019-2020 - Trường THPT Chu Văn An
Tiếp theo là 10 đề ôn tập học kì 1 Toán 10 năm học 2019-2020 dưới dạng tự luận
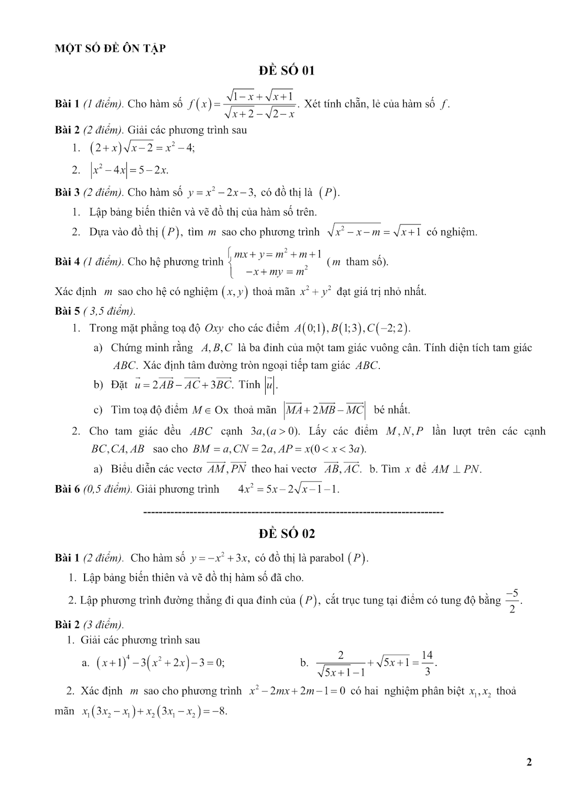
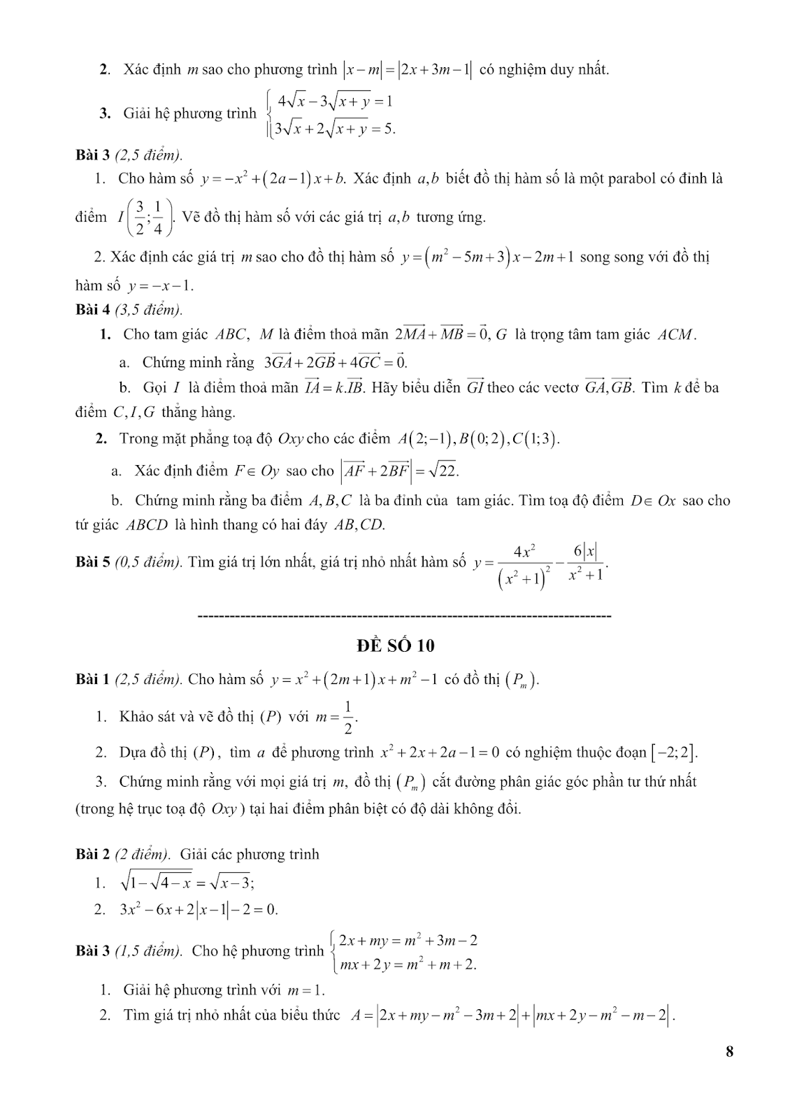
Một số đề ôn tập học kì 1 Toán 10 năm học 2019-2020 hình thức tự luận
Các đề ôn tập học kì 1 Toán 10 năm học 2019-2020
Đề cương ôn tập Toán 10 năm học 2019-2020 trường THPT Chu Văn An HN
Ngoài ra còn có: Hướng dẫn ôn tập học kì 1 Toán 10 năm học 2019-2020, Tổ Toán Tin - Trường THPT Chu Văn An - Hà Nội
Tải file PDF ở đây: DOWNLOAD
Đề thi thử học kì 1 Toán lớp 10 năm học 2019-2020 - Trường THPT Chu Văn An
Tiếp theo là 10 đề ôn tập học kì 1 Toán 10 năm học 2019-2020 dưới dạng tự luận
Một số đề ôn tập học kì 1 Toán 10 năm học 2019-2020 hình thức tự luận
Các đề ôn tập học kì 1 Toán 10 năm học 2019-2020
Đề cương ôn tập Toán 10 năm học 2019-2020 trường THPT Chu Văn An HN
Ngoài ra còn có: Hướng dẫn ôn tập học kì 1 Toán 10 năm học 2019-2020, Tổ Toán Tin - Trường THPT Chu Văn An - Hà Nội
Theo THPT Chu Văn An. Người đăng: Dịu.
Tải file PDF ở đây: DOWNLOAD









