Toán Học Đề thi - đáp án

Đáp án môn Toán vào lớp 10 trường PTNK 2021-2022

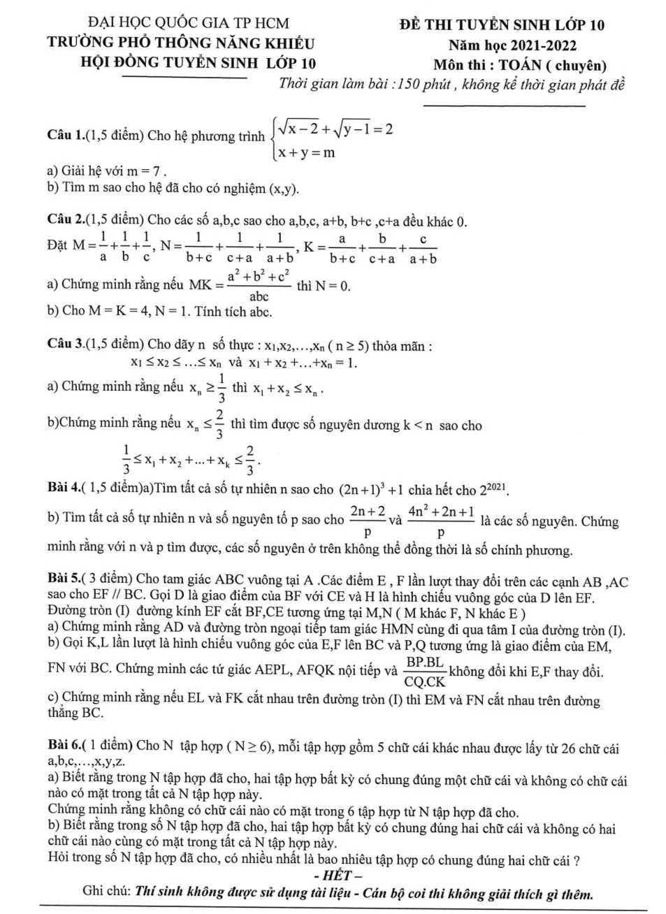
Đáp án và thang điểm chính thức môn Toán thi tuyển sinh vào lớp 10 trường Phổ thông Năng khiếu (PTNK) năm học 2021-2022. 1. Toán chuyên Đá...

Đáp án và thang điểm chính thức môn Toán thi tuyển sinh vào lớp 10 trường Phổ thông Năng khiếu (PTNK) năm học 2021-2022.

1. Toán chuyên

Đáp án và thang điểm
Đề thi Toán chuyên
File PDF đáp án môn Toán chuyên.

2. Toán thường

Đáp án Toán không chuyên
Đề thi Toán không chuyên
File PDF đáp án môn Toán không chuyên.
Theo PTNK. Người đăng: Mr. Math.
Tên

Ảnh đẹp,18,Bài giảng điện tử,10,Bất đẳng thức,78,Bđt Nesbitt,3,Bổ đề cơ bản,9,Bồi dưỡng học sinh giỏi,44,Cabri 3D,2,Các nhà Toán học,132,Câu đố Toán học,83,Câu đối,3,Cấu trúc đề thi,20,Chỉ số thông minh,4,Chuyên đề Toán,291,Công thức Thể tích,12,Công thức Toán,146,Cười nghiêng ngả,30,Danh bạ website,1,Dạy con,8,Dạy học Toán,305,Dạy học trực tuyến,20,Dựng hình,5,Đánh giá năng lực,5,Đạo hàm,17,Đề cương ôn tập,41,Đề kiểm tra 1 tiết,29,Đề thi - đáp án,1097,Đề thi Cao đẳng,15,Đề thi Cao học,7,Đề thi Đại học,170,Đề thi giữa kì,37,Đề thi học kì,147,Đề thi học sinh giỏi,142,Đề thi THỬ Đại học,445,Đề thi thử môn Toán,79,Đề thi Tốt nghiệp,70,Đề tuyển sinh lớp 10,110,Điểm sàn Đại học,5,Điểm thi - điểm chuẩn,232,Đọc báo giúp bạn,13,Epsilon,9,File word Toán,66,Giải bài tập SGK,241,Giải chi tiết,306,Giải Nobel,1,Giải thưởng FIELDS,23,Giải thưởng Lê Văn Thiêm,5,Giải thưởng Toán học,5,Giải tích,29,Giải trí Toán học,169,Giáo án điện tử,11,Giáo án Hóa học,2,Giáo án Toán,22,Giáo án Vật Lý,3,Giáo dục,227,Giáo trình - Sách,82,Giới hạn,22,GS Hoàng Tụy,8,GSP,6,Gương sáng,223,Hằng số Toán học,19,Hình gây ảo giác,9,Hình học không gian,131,Hình học phẳng,100,Học bổng - du học,12,IMO,38,Khái niệm Toán học,66,Khảo sát hàm số,44,Kí hiệu Toán học,15,LaTex,14,Lịch sử Toán học,81,Linh tinh,7,Logic,10,Luận văn,1,Luyện thi Đại học,230,Lượng giác,62,Lương giáo viên,3,Ma trận đề thi,21,MathType,7,McMix Pro,3,Microsoft phỏng vấn,11,MTBT Casio,29,Mũ và Logarit,41,MYTS,8,Nghịch lí Toán học,11,Ngô Bảo Châu,48,Nhiều cách giải,37,Những câu chuyện về Toán,15,OLP-VTV,33,Olympiad,364,Ôn thi vào lớp 10,4,Perelman,8,Phần mềm Toán,26,Phân phối chương trình,11,Phụ cấp thâm niên,3,Phương trình hàm,4,Sách giáo viên,15,Sách Giấy,11,Sai lầm ở đâu?,13,Sáng kiến kinh nghiệm,8,SGK Mới,37,SGK-Toan,19,Số học,68,Số phức,34,Sổ tay Toán học,4,T12C1,19,T12C2,12,T12C3,5,T12C4,19,T12C5,28,T12C6,16,T12KNTT,44,T12OT,6,T9C1,6,T9C10,3,T9C2,9,T9C3,15,T9C4,17,T9C5,30,T9C6,9,T9C7,5,T9C8,5,T9C9,18,Tạp chí Toán học,39,TestPro Font,1,Thiên tài,99,Thống kê,8,Thơ - nhạc,9,Thủ thuật BLOG,14,Thuật toán,3,Thư,2,Tích phân,107,Tính chất cơ bản,20,TKXS,54,Toán 10,182,Toán 11,239,Toán 12,617,Toán 9,230,Toán Cao cấp,26,Toán học Tuổi trẻ,26,Toán học - thực tiễn,101,Toán học Việt Nam,29,Toán THCS,29,Toán thực tế,68,Toán Tiểu học,7,Tổ hợp,51,Trắc nghiệm Toán,222,TSTHO,5,TTT12O,1,Tuyển dụng,11,Tuyển sinh,278,Tuyển sinh lớp 6,8,Tỷ lệ chọi Đại học,6,Vật Lý,23,Vẻ đẹp Toán học,109,Vũ Hà Văn,2,Xác suất,56,
ltr
item
Toán Học Việt Nam: Đáp án môn Toán vào lớp 10 trường PTNK 2021-2022
Đáp án môn Toán vào lớp 10 trường PTNK 2021-2022
https://blogger.googleusercontent.com/img/b/R29vZ2xl/AVvXsEhdZlxxLgsd3qk7Qr22zk6Sfgv8kNPic2im-P5Nz46sFWGhpV_cZVvl4X2UYGd8sTYEDumdvIn6ocBTpe3H5Qepy1WnTyG6PWTo0uzat48qL0qyfq_HPXs1I4iE7LEk5dkVFCTPo3SsnmY3/s0/0001.jpg
https://blogger.googleusercontent.com/img/b/R29vZ2xl/AVvXsEhdZlxxLgsd3qk7Qr22zk6Sfgv8kNPic2im-P5Nz46sFWGhpV_cZVvl4X2UYGd8sTYEDumdvIn6ocBTpe3H5Qepy1WnTyG6PWTo0uzat48qL0qyfq_HPXs1I4iE7LEk5dkVFCTPo3SsnmY3/s72-c/0001.jpg
Toán Học Việt Nam
https://www.mathvn.com/2021/06/ap-mon-toan-vao-lop-10-truong-ptnk-2021.html
https://www.mathvn.com/
https://www.mathvn.com/
https://www.mathvn.com/2021/06/ap-mon-toan-vao-lop-10-truong-ptnk-2021.html
true
2320749316864824645
UTF-8
Loaded All Posts Not found any posts XEM TẤT CẢ Xem thêm Reply Cancel reply Delete By Home PAGES POSTS Xem tất cả BÀI ĐỀ XUẤT CHO BẠN LABEL ARCHIVE SEARCH ALL POSTS Not found any post match with your request Về Trang chủ Sunday Monday Tuesday Wednesday Thursday Friday Saturday Sun Mon Tue Wed Thu Fri Sat January February March April May June July August September October November December Jan Feb Mar Apr May Jun Jul Aug Sep Oct Nov Dec just now 1 minute ago $$1$$ minutes ago 1 hour ago $$1$$ hours ago Yesterday $$1$$ days ago $$1$$ weeks ago more than 5 weeks ago Followers Follow THIS PREMIUM CONTENT IS LOCKED STEP 1: Share to a social network STEP 2: Click the link on your social network Copy All Code Select All Code All codes were copied to your clipboard Can not copy the codes / texts, please press [CTRL]+[C] (or CMD+C with Mac) to copy Mục lục bài viết