Đề thi đại học môn Toán năm 2002 khối A B D và đáp án chi tiết

Đề thi đại học môn toán khối A năm 2002 và đáp án chi tiết thang điểm chính thức của Bộ GD, khối B 2002, khối D 2002

Bài này sẽ đăng lại các đề thi đại học môn toán năm 2002 - năm đầu tiên thi chung toàn quốc (gộp cả đại học và cao đẳng vào thi chung đợt). Đề thi được ra dưới dạng câu hỏi tự luận 100% với nội dung rải khắp cả 3 lớp 10, 11, 12.

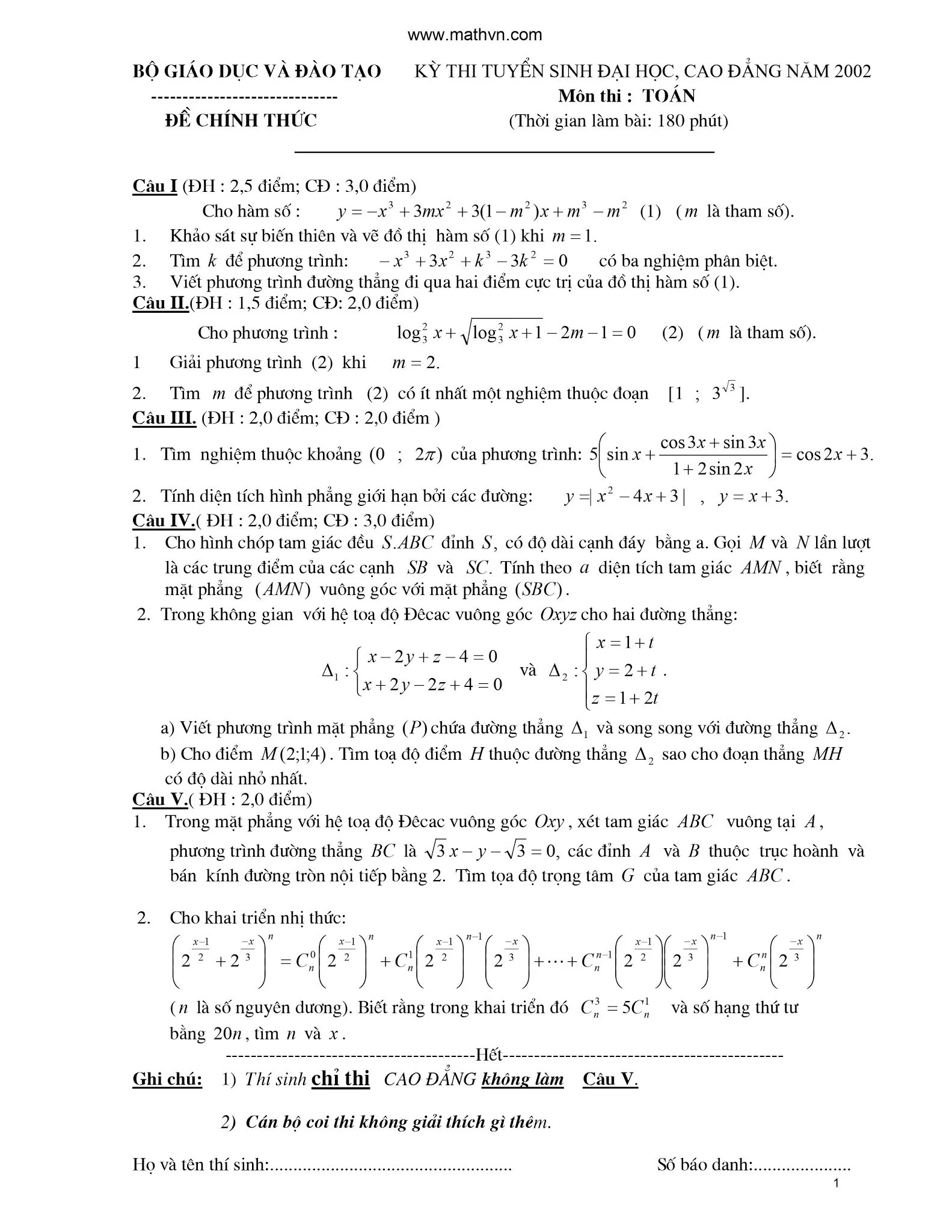
Đề thi đại học môn Toán khối A 2002

Đề thi khối A 2002 môn Toán

Thang điểm, đáp án chi tiết


Đề thi đại học môn Toán khối B 2002


Đề thi Toán B 2002

Đáp án, thang điểm của Bộ


Đề thi đại học môn Toán khối D 2002


Đề thi khối D 2002 môn Toán

Thang điểm, đáp án chi tiết


Hướng dẫn chấm thi của Bộ Giáo dục và Đào tạo.

Xem và tải file PDF 3 khối


[Download ##download##]

Theo Bộ GD-ĐT. Người đăng: Mr. Math.
Tên

12C1,19,12C2,12,12C3,5,12C4,19,12C5,28,12C6,16,12CN,6,12KNTT,44,9C1,6,9C10,3,9C2,9,9C3,15,9C4,17,9C5,30,9C6,9,9C7,5,9C8,5,9C9,18,Ảnh đẹp,18,Bài giảng điện tử,10,Bạn đọc viết,225,Bất đẳng thức,75,Bđt Nesbitt,3,Bổ đề cơ bản,9,Bồi dưỡng học sinh giỏi,41,Cabri 3D,2,Các nhà Toán học,131,Câu đố Toán học,83,Câu đối,3,Cấu trúc đề thi,15,Chỉ số thông minh,4,Chuyên đề Toán,291,congthuctoan,12,Công thức Thể tích,12,Công thức Toán,139,CSC,8,CSN,9,Cười nghiêng ngả,31,Danh bạ website,1,Dạy con,8,Dạy học Toán,298,Dạy học trực tuyến,20,Dựng hình,5,Đánh giá năng lực,1,Đạo hàm,17,Đề cương ôn tập,41,Đề kiểm tra 1 tiết,29,Đề thi - đáp án,1062,Đề thi Cao đẳng,15,Đề thi Cao học,7,Đề thi Đại học,172,Đề thi giữa kì,35,Đề thi học kì,145,Đề thi học sinh giỏi,140,Đề thi THỬ Đại học,426,Đề thi thử môn Toán,72,Đề thi Tốt nghiệp,70,Đề tuyển sinh lớp 10,105,Điểm sàn Đại học,5,Điểm thi - điểm chuẩn,229,Đọc báo giúp bạn,13,Epsilon,9,File word Toán,65,Giải bài tập SGK,241,Giải chi tiết,253,Giải Nobel,1,Giải thưởng FIELDS,24,Giải thưởng Lê Văn Thiêm,4,Giải thưởng Toán học,5,Giải tích,29,Giải trí Toán học,170,Giáo án điện tử,11,Giáo án Hóa học,2,Giáo án Toán,22,Giáo án Vật Lý,3,Giáo dục,375,Giáo trình - Sách,82,Giới hạn,21,GS Hoàng Tụy,8,GSP,6,Gương sáng,217,Hằng số Toán học,19,Hình gây ảo giác,9,Hình học không gian,117,Hình học phẳng,99,Học bổng - du học,12,IMO,38,Khái niệm Toán học,66,Khảo sát hàm số,40,Kí hiệu Toán học,13,LaTex,12,Lịch sử Toán học,81,Linh tinh,7,Logic,11,Luận văn,1,Luyện thi Đại học,231,Lượng giác,61,Lương giáo viên,3,Ma trận đề thi,15,MathType,7,McMix,2,McMix bản quyền,3,McMix Pro,3,McMix-Pro,3,Microsoft phỏng vấn,11,MTBT Casio,29,Mũ và Logarit,39,MYTS,8,Nghịch lí Toán học,11,Ngô Bảo Châu,49,Nhiều cách giải,37,Những câu chuyện về Toán,15,OLP-VTV,33,Olympiad,338,Ôn thi vào lớp 10,4,Perelman,8,Ph.D.Dong books,7,Phần mềm Toán,26,Phân phối chương trình,11,Phụ cấp thâm niên,3,Phương trình hàm,4,Sách giáo viên,15,Sách Giấy,11,Sai lầm ở đâu?,13,Sáng kiến kinh nghiệm,8,SGK Mới,34,SGK-Toan,16,Số học,59,Số phức,34,Sổ tay Toán học,4,Tạp chí Toán học,39,TestPro Font,1,Thiên tài,98,Thống kê,8,Thơ - nhạc,9,Thủ thuật BLOG,14,Thuật toán,3,Thư,2,Tích phân,84,Tính chất cơ bản,20,TKXS,47,Toán 10,177,Toán 11,226,Toán 12,578,Toán 9,204,Toán Cao cấp,26,Toán học Tuổi trẻ,26,Toán học - thực tiễn,100,Toán học Việt Nam,29,Toán THCS,27,Toán thực tế,27,Toán Tiểu học,6,toanthcs,6,Tổ hợp,41,Trắc nghiệm Toán,222,TSTHO,5,TTT12O,1,Tuyển dụng,11,Tuyển sinh,278,Tuyển sinh lớp 6,8,Tỷ lệ chọi Đại học,6,Vật Lý,24,Vẻ đẹp Toán học,109,Vũ Hà Văn,2,Xác suất,41,
ltr
item
Toán Học Việt Nam: Đề thi đại học môn Toán năm 2002 khối A B D và đáp án chi tiết
Đề thi đại học môn Toán năm 2002 khối A B D và đáp án chi tiết
Đề thi đại học môn toán khối A năm 2002 và đáp án chi tiết thang điểm chính thức của Bộ GD, khối B 2002, khối D 2002
https://blogger.googleusercontent.com/img/b/R29vZ2xl/AVvXsEg-Io0JPyjBnVq6Vbl2NKuxGoehsdXMZDjNdAze9ICu-c7IoIBbLK_cOpFaOzwCRINSBGgZMW_8ReIgoBJRJyDoxyb-TK5ad81mYpC1wqzy7mez2KaP0EVHJuWxOLdSpGXLkZ9EGk4i3Y4D/s0/0001.jpg
https://blogger.googleusercontent.com/img/b/R29vZ2xl/AVvXsEg-Io0JPyjBnVq6Vbl2NKuxGoehsdXMZDjNdAze9ICu-c7IoIBbLK_cOpFaOzwCRINSBGgZMW_8ReIgoBJRJyDoxyb-TK5ad81mYpC1wqzy7mez2KaP0EVHJuWxOLdSpGXLkZ9EGk4i3Y4D/s72-c/0001.jpg
Toán Học Việt Nam
https://www.mathvn.com/2021/08/e-thi-ai-hoc-mon-toan-nam-2002-khoi-b-d.html
https://www.mathvn.com/
https://www.mathvn.com/
https://www.mathvn.com/2021/08/e-thi-ai-hoc-mon-toan-nam-2002-khoi-b-d.html
true
2320749316864824645
UTF-8
Loaded All Posts Not found any posts XEM TẤT CẢ Xem thêm Reply Cancel reply Delete By Home PAGES POSTS Xem tất cả BÀI ĐỀ XUẤT CHO BẠN LABEL ARCHIVE SEARCH ALL POSTS Not found any post match with your request Về Trang chủ Sunday Monday Tuesday Wednesday Thursday Friday Saturday Sun Mon Tue Wed Thu Fri Sat January February March April May June July August September October November December Jan Feb Mar Apr May Jun Jul Aug Sep Oct Nov Dec just now 1 minute ago $$1$$ minutes ago 1 hour ago $$1$$ hours ago Yesterday $$1$$ days ago $$1$$ weeks ago more than 5 weeks ago Followers Follow THIS PREMIUM CONTENT IS LOCKED STEP 1: Share to a social network STEP 2: Click the link on your social network Copy All Code Select All Code All codes were copied to your clipboard Can not copy the codes / texts, please press [CTRL]+[C] (or CMD+C with Mac) to copy Mục lục bài viết